如何计算超级电容组的容量配置?
1.以能量为选择依据计算超级电容器组的容量
对于大多数应用,单个超级电容器的容量无法满足能量需求,因此需要根据储能需求来确定所需的器件数量。

为此,我们首先考虑上图所示的等效电路模型,忽略与弛豫效应相关的参数,只考虑器件C的基本电容值C(C=C 0 )。此时,器件在超级电容器组容量的最大允许电压U M 下所能储存的 最大能量为W M , 即

如果要释放超级电容器组中存储的所有能量,需要将其电压从最大值 U M降低 为0。但是,在一定的功率输出条件下,超级电容器组的电流会随着电压下降到0而趋于无穷大,这会在效率上带来很大的问题:因为储能装置的串联等效阻抗和功率转换装置会产生很大的损耗。在实际应用中,为了提高系统效率,需要将超级电容器组端电压的变化范围限制在一定范围内。这里引入一个放电系数d,它等于超级电容器组的最小允许端电压除以最大端电压,用百分比表示。

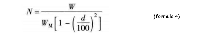
可见,超级电容器组容量中储存的总能量W M 并不能被充分利用,只能利用其中的一部分能量,称为有效能量W u。

例如,当d=50%(最小电压是最大电压的一半,最大电压对应充满电状态)时,超级电容器组可以释放其总储能的75%。为了获得高效率,我们在应用中一般会避免d低于50%。
由超级电容器组有效能量的定义,可以最终确定提供能量W所需的器件数量,N为

特定超级电容器组的设备数量没有唯一的解决方案。所需数量取决于超级电容器组的放电系数d,因此其容量设计具有很大的自由度。
2.以功率为选型依据计算超级电容器组的容量——考虑效率
正如前面分析的等效电路模型,超级电容器组内部包含一个串联电阻,这意味着在充放电过程中会产生内部损耗。如果考虑到这些损失,则可以获得超级电容器组的效率,在计算超级电容器组中的电池数量时必须考虑到这一点。
例如,下图分别为参数为2600F/2.5V/0.7mΩ的超级电容组在恒流和恒功率条件下的充放电效率曲线。图中,流量系数d设置为50%。但是,即使充放电电流和功率不是恒定值,也可以参考这条曲线。

虽然超级电容器组的串联阻抗很小(0.7mΩ),但要实现大于 90% 的效率,充电时和放电时都必须将电流或功率限制在一定值。
也就是说,充电时需要将电流限制在297A以下,或者功率必须限制在604W以下,才能获得90%的效率。放电条件比较严格,电流不能超过267A,功率不能超过423W。
如果我们受到最小允许效率的约束,可以计算出超级电容器组的器件功率密度,它是通过放电功率(423W)与器件质量(0.525kg)的比值得到的,以确保该装置获得90%的效率。因此,本例中器件的功率密度为806W/kg,而厂家给出的是4300W/kg。
可以看出,超级电容器组设备的实际性能与制造商的标称性能相差甚远。因此,在设计超级电容器组的容量时,必须考虑器件内部串联阻抗引起的效率问题。
下图显示了一个考虑效率的超级电容器组容量设计案例。超级电容组需要30kW的功率才能提供170kJ的能量,单颗器件参数为350F/2.5V/3.2mΩ。

如果不考虑效率,超级电容器组所需的器件数量可以直接从等式 4 中计算出来。如果存储的能量已知,则针对不同放电系数 d 计算的器件数量不是唯一的。假设流量系数d的取值范围为50%~80%,可得到上图中的曲线(1),给出了一系列可能的选择。
上图还显示了30kW功率和不同效率(90%、92%和94%)下超级电容器组器件数量的选择曲线。从图中可以看出,超级电容器组的效率随着器件数量的增加而增加,也随着放电系数的增加而增加。
最后,上图中的曲线 (2) 提供了满足 170kJ 储能要求并考虑效率的一系列选项。当效率接近1(N很大,d接近100%)时,曲线接近理想曲线。无论如何,考虑超级电容器组的效率导致计算器件数量的增加,同时也限制了超级电容器组端电压的变化范围。最终,设备的数量由曲线(2)(能量与效率,选择依据)和等效效率(功率选择依据)曲线的交点决定。
本例中,170kJ/30kW的储能需求对应的设计方案为N=270,d=60.8%,效率90%,或者N=365,d=73.8%,效率74%。